近日,国际权威能源期刊Energy & Environmental Science在线发表了物理与电子科学学院、低维量子结构与调控教育部重点实验室周海青教授、余芳教授、唐东升教授等人合作的学术论文“Collaborative multi-interface engineering and dynamic iron exchange boost robust bifunctional water electrolysis at 2 A cm-2”。近三年来,该研究团队在电解纯水/海水制氢领域取得了系列创新性研究成果,主要发表在应用物理及其交叉学科领域国际知名刊物上:Energy Environ.Sci.2024, DOI: 10.1039/D4EE04619F;Adv. Mater.2024,36, 2405852;Adv. Mater.2024,36, 2305685;ACS Nano 2023,17, 1681(ESI高被引);Adv. Funct. Mater.2023,33, 2209465;Small2023,19, 2207082(ESI高被引);Appl. Phys. Lett.2023,123, 083901;Nano Res.2024,17, 6977,并授权中国发明专利6项,获批企业横向课题2项。
近年来,氢能的高效制取和利用吸引了国际社会的广泛关注,其中氢能的廉价、绿色制备仍然是一个挑战。电解水制氢技术可以将大自然储量丰富的可再生电力资源(光伏、水电、风电等)转化为可储存、运输的氢能,无碳排放,对于我国碳达峰、碳中和目标的实现有重要价值。然而,电能消耗大,制氢成本高是该技术应用的瓶颈。为提高电解水制氢反应的能量效率,降低制氢成本,研发出高活性的阴、阳极电催化材料至关重要。目前,高活性的催化材料仍然以铂、钌等贵金属材料为主,但其昂贵的价格限制了规模应用。在碱性环境中,为了降低催化剂成本,工业界一般采用廉价的镍/钴/铁基材料作为催化剂,但相应的电解水析氧、析氢反应过电位过高,大大降低了水分解制氢的能量转换效率,增加电能损耗。基于此,采用简单的规模化制备技术来可控合成高活性、低成本、高稳定性的非贵金属析氧催化剂是当前电解水制氢技术走向产业化亟待攻克的科学难题之一,以期在大幅降低电极材料成本的同时,实现在大电流高效、稳定制氢。近年来,氢能量子催化团队专注于富铁电催化材料,致力于发展高性能的富铁异质结催化材料来解决镍或钴基材料在大电流的低催化活性和长时间稳定性,从而促进相关技术产业化。团队率先在包含美国科学院院刊PNAS在内的国际知名期刊上报道了一系列高活性且在大电流下性能稳定的富铁析氧催化剂或双功能催化剂(PNAS2017,114, 5607;Nat. Commun.2018,9, 2551;Energy Environ. Sci.2018,11, 2858)。尽管近年来人们在探索廉价的水电解电催化剂方面取得了很大进展,但想要开发具有最先进双功能催化活性的水电解电催化剂仍然很棘手。这主要归因于析氢反应和析氧反应活性物种的不相容性和不一致性,几乎所有的非贵金属催化剂都以牺牲另一反应活性为代价,对一半反应表现出极好的催化活性,从而导致碱水电解耗电量大。

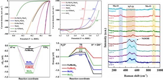
针对上述问题,该团队通过在金属间化合物MoNi4表面原位锚定铁颗粒的策略,开发出一种多金属位点接力催化的Fe/MoNi4/MoO2双功能电解水催化剂。MoNi4促进初始的水吸附/解离步骤,Fe/MoNi4加快后续的氢吸附步骤,而表面重构形成的Ni1-xFexOOH则主要促进水氧化步骤,进而显著降低全解水反应过程中涉及的多个决速步骤的能垒。该催化剂在碱性环境中表现出优异的双功能活性和大电流密度下的长期稳定性,分别仅需要59mV和277mV的析氢和析氧过电位就能产生500mA/cm2的工业级电流密度,其性能优于绝大多数非贵金属催化剂。将其耦合成全解水器件,该器件仅需要1.64 V的槽压就能产生安培级电流密度1000 mA/cm2,且在大电流密度500 mA/cm2稳定运行200小时以上。在此基础上,团队利用原位X射线光电子能谱、原位拉曼光谱和密度泛函理论计算解析了催化剂中多级界面之间的协同催化效应以及多金属位点的协同接力催化机制。该研究为开发工业级双功能电解水催化剂提供了技术指导。
sunbet申搏博士生李东阳、章勇为论文的共同第一作者,周海青教授为本论文的通讯作者,sunbet申搏为论文的第一及通讯单位。该工作获得了国家高层次青年人才项目、国家自然科学基金面上项目、青年基金以及湖南省首批揭榜挂帅项目等基金的资助。
论文及媒体报道链接:
https://pubs.rsc.org/en/content/articlelanding/2024/ee/d4ee04619f
https://mp.weixin.qq.com/s/NoK216JmG31DddmDmjHfSA
https://mp.weixin.qq.com/s/82hZeFO6_AyD8yPEDYcRmA
https://mp.weixin.qq.com/s/4rGDa4Ey97oDSOvRMRQmLw
学校信息门户
设为收藏